An activation function is a mathematical tool used in machine learning to impart non-linearities into linear systems. Choosing the proper activation function(s) is an important step in designing your neural network. Softmax is implemented with the following formula:

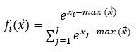
For IDL Machine Learning, Softmax is computed in a numerically stable way. This means that the results will not be exactly as the definition of Softmax, but it can still be interpreted in the same way. The IDLmlafSoftmax activation function is implemented with the following formula:

Example


Compile_opt idl2
Data = findgen(10)
actFunc = IDLmlafSoftmax()
Print, actFunc(data)

Syntax


actFunc = IDLmlafSoftmax()

Result = actFunc(X [, GRADIENT=value])

Note: IDL activation functions work by overloading the function operator. To avoid compilation problems, make sure that every routine that uses an activation function contains the statement:

Compile_opt idl2

Arguments


None

Keywords


GRADIENT (optional)

Set this keyword to a named variable to receive the gradient of the activation function at each point in the input X array. The output gradient will have the same dimensions as the input X array.

Version History


8.7.1

Introduced

See Also


IDLmlafArcTan, IDLmlafBentIdentity, IDLmlafBinaryStep, IDLmlafELU, IDLmlafGaussian, IDLmlafIdentity, IDLmlafISRLU, IDLmlafISRU, IDLmlafLogistic, IDLmlafPReLU, IDLmlafReLU, IDLmlafSinc, IDLmlafSinusoid, IDLmlafSoftExponential, IDLmlafSoftPlus, IDLmlafSoftSign, IDLmlafTanH